Generic Number: Hencide OIT
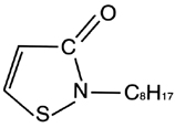
Raw material Name: 2-N-OCTYL-4-ISOTHIAZOLIN-3-ONE
Common Name: OIT
Chemical Name: 2-N-OCTYL-4-ISOTHIAZOLIN-3-ONE
CAS NO.: 26530-20-1
Molecular weight: 213.33
Structural formula:
.jpg)
Physical Form: Transparent to Amber Liquid
Attribute Specification:
Actives: ≥99%
Appearance: Transparent to Amber Liquid
Specific Gravity: * ≤1.2
Neat pH: 4.0-6.0
Water: <0.5%
|